Quantum nonlinear optics for qubits
- antonfriskkockum
- 9 aug. 2017
- 1 min läsning
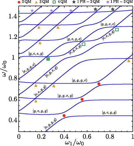
Continuing our investigations of processes in ultrastrongly coupled systems that do not conserve excitation number, we analyze setups with three or four qubits coupled to a single resonator mode. It is well known, and used in quantum information processing, that two qubits far from resonance with a resonator mode can interact via virtual photons in that mode. Here, we show that such interactions can be extended to nonlinear-optics-like processes for three and four qubits (e.g., a single excited qubit can excite two spatially separated qubits) when the full quantum Rabi Hamiltonian is used to describe the light-matter interaction.
Quantum nonlinear optics without photons
Roberto Stassi, Vincenzo Macrì, Anton Frisk Kockum, Omar Di Stefano, Adam Miranowicz, Salvatore Savasta, and Franco Nori
arXiv:1702.00660



Kommentarer